差壓變送器精度對差壓式流量計測量影響
發布時間:2025-07-02 ???
瀏覽次數:
流量測量參數是工業生產最常見的參數之一,準確測量流量不僅保障了生產環節的安全,也有利于更好地進行系統控制與調節,提高效率與質量"。差壓式流量計作為使用歷史最久的一種流量測量儀表,在各領域具有成熟與廣泛的應用。而隨著工業發展的不斷深入,市場和政府對于包含差壓式流量計在內的計量器具提出了基于產品需求和有序監管的全新要求。差壓式流量計的檢測涉及到節流裝置、差壓裝置在內的幾何量值、壓力量值等多參量的測量日。下面從差壓式流量計的工作原理分析
差壓變送器對差壓式流量計測量精度的影響,并討論了更為合理的差壓變送器校準辦法。
1差壓式流量計的組成與工作原理
差壓式流量計主要由節流裝置、差壓變送器和
流量積算儀組成。常用的節流裝置主要分為標準節流件與非標準節流件。其原理遵循伯努利方程和流動連續性方程。在密閉管道中的單相流體經過節流件時,由于管道內的流通截面突然減小,流體的流速急速增大,因此流體的動能相應增加。此時流體的部分位能轉化為動能,流體在節流件前后就會產生壓力差。使用差壓變送器對該壓力差進行測量并由流量積算儀進行函數運算,便可得到流量測得值,如圖1所示。表達式為
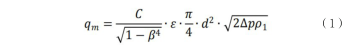
式(1)中:qm--質量流量;C一流出系數;?一氣體可膨脹系數;β一直徑比,B=d/D;d-工作條件下節流件的孔徑;D-工作條件下上游管道內徑;△p-差壓;ρ1一上游流體密度。
2差壓變送器對差壓式流量計測量精度的影響
根據式(1)可知,使用差壓式流量計開展測量對流量的影響因素主要有流出系數C、氣體可膨脹系數ε、節流件孔徑d、上游管道內徑D、差壓△p,以及上游流體密度ρ1。
這些參數的測量與確定無疑是差壓式流量計檢測的核心問題,差壓式流量計的檢測流體應具備單相、清潔,不含顆粒、纖維等雜質的性質。各管路與差壓件的幾何參數在流量測量過程中為常數,對流量測量結果造成的影響與其自身參數測量的重復性與不確定度有關,不同類型的節流件對應于不同的測量內容與測量方法,對于測量結果的不確定度也有不同的要求。上游流體密度的確定主要來自于溫度計的測量結果。流出系數由于是根據實際流量與理論流量的比值算得的,因而會受到管路與節流件以及標準流量測量結果的影響,而差壓變送器對差壓的測量則會直接影響到流量示值誤差檢測的結果同。
差壓變送器作為工業中最為常用的計量器具之一,積累了長時間的生產使用經驗,取得了大量的技術突破,如今已經可以達到很高的測量精度。國外的廠家投人到中國市場的變送器產品絕大多數可以達到0.075級的精度等級,國內的廠家,精度等級也達到0.075級的壓力變送器的穩定條件。根據要求,差壓變送器的測量誤差對流量測量結果的影響應當不超過差壓裝置精度等級的1/3。而常見的差壓式流量計精度等級對應的最大允許誤差為±0.5%、±1.0%、±1.5%、±2.0%、±2.5%。上述差壓變送器的最大允許誤差看似在數值上達到了小于差壓裝置最大允許誤差的1/3的要求,但這種直觀的理解實際上存在著兩方面的問題。
1)差壓裝置對應的流出系數與差壓變送器對應的差壓之間并不是一次函數關系.
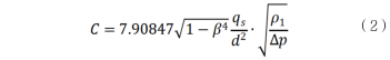
以水介質測量的用經典文丘里管作為節流件的標準節流裝置為例,流出系數按式(2)所示:
式(2)中:C一流出系數;β一直徑比;/=d/D;qs一標準流量值;d一節流件的孔徑;ρ1一水的密度;△p-測量差壓值。
為了進一步考察差壓變化對流出系數的影響,將式(2)對差壓△p進行求導可得:

算結果對差壓變化的靈敏度的影響。不難發現,在對差壓值較小的檢測點進行測量時,流出系數的靈敏度較大,更容易被差壓測量結果的誤差所影響。
2)差壓式流量計的精度等級、最大允許誤差的定義形式與差壓變送器的不同.
差壓式流量計的測量參照的技術依據《差壓式流量計》檢定規程,關于各流量點測得值的誤差計算如式(4)所示:
式(4)中:E一差壓式流量計的相對示值誤差;被檢流量計顯示的流量值;Qr一標準器換算到被檢流量計處狀態的標準流量值。
由此可知,差壓式流量計的測得值誤差按照相對誤差的形式定義,故精度等級、最大允許誤差也同樣以相對誤差的形式表達。
而差壓變送器的測量參照的技術依據《
壓力變送器》檢定規程同,差壓變送器的示值誤差計算如式(5)所示:
式(5)中:△I一差壓變送器的示值誤差;I一差壓變送器的實際輸出值;IL一差壓變送器的理論輸出值。
差壓變送器的精度等級與最大允許誤差,則是以其輸出量程的百分比表示的,如式(6)所示:
式(6)中:△I-差壓變送器的示值誤差;Ips-差壓變送器的輸出量程。
由此可知,差壓變送器的示值誤差按照絕對誤差的形式定義,而精度等級、最大允許誤差則以引用誤差的形式定義。
由于定義方式的不同,直接使用精度等級或最大允許誤差評價差壓變送器對流量裝置的適用性并不恰當。盡管在滿量程點時兩者可以進行比較,但隨著測試點對應差壓的減小,差壓變送器產生的示值誤差換算成的相對誤差可能就越大,最終會擴大對差壓式流量計測量精度的影響。
總的來說,兩方面因素最終指向了同一結果:對于流量1差壓較小的測量點,差壓變送器自身的誤差會對差壓式流量計測量結果造成較大的影響。
3差壓變送器的校準方法討論
差壓式流量計由于其自身的特點,對差壓變送器的校準提出了不同于一般壓力變送器的要求。因此,優化差壓變送器的校準方法,對于提升差壓式流量計的實際測量精度,保障測量結果的精度可靠性具有重要的現實意義。
1)選擇使用合適的標準器會更有利于校準結果的評價校準差壓變送器可供選用的標準器有
壓力校驗儀、自動標準壓力發生器、活塞式壓力計、浮球式壓力計、補償式微壓計等。兼顧到差壓式流量計配置的差壓變送器的測量上限往往在數百kPa或幾十kPa左右以及校準過程的便捷,大多數校準機構傾向于選擇數字壓力計或自動標準壓力發生器。這兩類壓力標準器是以引用誤差作為其自身的精度等級與最大允許誤差的評價形式,這就導致了其對差壓變送器校準結果的不確定度同樣是以引用誤差的形式表達,使得小壓力測量點難以獲取滿意的結果。為此,可以在單臺數字壓力計的基礎上,再使用一臺相同精度等級,但量程更小的數字壓力計,或者為自動標準壓力發生器額外配置一個相同精度等級的小.量程壓力模塊。這樣使得小壓力測量點對應的不確定度減小,提升了數據的精度。更為直接的方式是改用活塞式壓力計或者氣體活塞式壓力計。由于活塞式壓力計是以活塞有效面積、砝碼質量以及其他修正作為其產生的標準壓力,其測量結果的不確定度往往以相對不確定度的形式表達,所以不論壓力測量點大小如何,均可以得到較為一致的結果。
2)選擇合適的測量點進行校準,可以更好地減少實際測量的誤差
為了更為便捷地通過所需的流量值,差壓式流量計配置的差壓變送器在出廠“時往往變更了常規的輸出信號值與輸人壓力值的線性函數關系,采用冪函數作為輸出信號值與輸人壓力值的函數關系。這種設定方式使得差壓式流量計最終獲得的流量值與差壓變送器輸出信號值之間建立了線性函數關系,更便于進行數據的處理。而差壓變送器校準選擇的校準點,默認情況下參照《壓力變送器》檢定規程中的要求,按量程基本均勻分布,包括上限值、下限值在內不少于5個點。其中的量程均勻分布指的是壓力值的選點均勻,換算成對應的流量值后則不再均勻,測量點集中在大流量對應的位置,影響了對差壓式流量計整體精度的評價,如圖2所示。所以,從差壓式流量計這個整體出發,差壓變送器的選點采用按輸出信號范圍均勻分布的方式更為合適。這種選點方式一方面更加仔細地考察了差壓變送器在差壓值較小的測量點處的測量情況,使較小差壓值的測量結果得以獲取更可靠的校準或修正,另-方面也保障了差壓式流量計得出的流量值在各測量點均能得到滿意的精度。